
摘要
本文介紹了運放電路共模抑製比CMRR的概念,分為(wei) 運放器件自身的CMRR,還有與(yu) 外部電阻搭配在一起時,整體(ti) 電路的CMRR計算方法。目的是為(wei) 了反映出運放器件自身的CMRR值是如何影響最終整體(ti) 電路的CMRR值,還有以差分放大電路為(wei) 例,闡述外部的電阻匹配程度對整體(ti) 電路CMRR影響的程度。很多用戶對運放器件自身的CMRR值比較在意,實際上在外部電阻精度隻有1%或者更差時,運放器件自身CMRR值對電路整體(ti) CMRR值的降低程度已經可以忽略不計了。文中還以仿真軟件為(wei) 例,運用CMRR定義(yi) 的方法來測試電路整體(ti) 的CMRR,得出本文介紹的計算方法與(yu) 實測值非常吻合的結論。此方法對實際電路的測試非常具有指導意義(yi) ,可以比較準確測量電路的CMRR值。
本文由江蘇潤石資深FAE-撰寫(xie) Ovid Ling
►►►
引言
在選型運算放大器時,不少工程師朋友片麵追求運放器件自身的CMRR參數,而忽視了電路整體(ti) 的CMRR。電路整體(ti) 的CMRR受外部選用的電阻的精度影響更大,比如在標準差分放大電路裏,運放自身的CMRR參數為(wei) 100dB,電路增益為(wei) 10倍時,如果選用1%精度的電阻,電路整體(ti) 的CMRR隻有48dB,即便選用昂貴的0.1%精度的電阻,電路整體(ti) 的CMRR也隻能達到68dB,都遠低於(yu) 運放器件自身的CMRR參數。本文檔通過理論計算和仿真證明所提供的計算方法非常準確有效,可以幫助設計者快速了解電路的整體(ti) CMRR水平。
►►►
共模抑製比CMRR的定義(yi)
共模抑製比,定義(yi) 為(wei) 電路中差模增益與(yu) 共模增益的比值,其公式如下:

一般用對數形式來表述,定義(yi) 為(wei)

共模電壓與(yu) 差模電壓接入電路示意圖見 Figure 1:

Figure 1共模電壓與(yu) 差模電壓示意圖
對於(yu) 運放器件自身來說,簡化等效模型下,其兩(liang) 個(ge) 輸入端的電壓差與(yu) 輸出電壓存在以下關(guan) 係:

Vp是同相輸入端電壓,Vn是反相輸入端電壓,CMRROPA是運放器件自身共模抑製比。
AOL是運放的開環增益,Vos是運放的失調電壓。
►►►
差分放大電路的共模抑製比
CMRR計算方法
非理想運放由於(yu) 共模抑製比CMRR有限,低頻處CMRR值一般有80dB以上,再加上外部4個(ge) 電阻的誤差,差分放大電路整體(ti) 的CMRR值會(hui) 下降。典型的差分放大電路圖如 Figure 2:

Figure 2典型的差分放大電路圖
根據共模抑製比CMRR的定義(yi) ,計算使用非理想運放差分放大電路的CMRR值,分為(wei) 三步,第一步先計算

第二步再計算

第三步計算

1) 計算電路整體(ti) Acm_total

Figure 3 對共模電壓的差分放大電路圖

根據公式 ( 2-1),有

經過一係列合並同類項和化簡後,得出:

此公式可以用於(yu) 準確計算輸入Vcm下輸出的電壓。

2) 計算電路整體(ti) Adm_total

Figure 4 對差模電壓的差分放大電路圖

根據公式( 2-1),有

經過一係列合並同類項和化簡後,得出:

此公式可以用於(yu) 準確計算輸入Vdm下輸出的電壓。

3) 計算電路整體(ti) CMRRtotal

4) 計算由電阻值誤差引起的CMRRtotal
為(wei) 了方便使用市麵上常用的電阻值誤差百分比來計算,
設 R1=G×R×(1+K),R2=R×(1-K),R3=R×(1+K) ,R4=G×R×(1-K) ,
此時由4個(ge) 電阻引起的不平衡程度是最大的。
其中G是理論上差分放大電路的增益,K是電阻的精度。

Figure 5 變更後對共模電壓的差分放大器電路圖
把 R1、R2、R3、R4 代入公式 (3-5),並且經過一係列合並同類項和化簡得,

其中,CMRROPA是運放器件自身給出的共模抑製比值,G是電路的理論增益,K是電阻的精度。
下表給出差分放大電路常見增益、電阻精度得出的CMRR值。假設運放自身CMRR = 100dB。

從(cong) 上表的數據可知,差分放大電路整體(ti) 的CMRRtotal 更多是外部4個(ge) 電阻的精度來決(jue) 定的,運放器件自身的CMRR值遠遠大於(yu) 電路整體(ti) 的值,所以一味的追求運放高CMRR值,而忽視了外部電阻網絡精度帶來的影響是不正確的。
5) 計算任意輸入電壓下的輸出電壓 (本節內(nei) 容與(yu) CMRR計算無關(guan) ,僅(jin) 為(wei) 展示計算Vout )

Figure 6 對不同輸入電壓的差分放大電路圖
根據公式( 2-1),得出:

其中AOL是運放的開環增益CMRROPA是運放器件自身的共模抑製比,Vos是運放的失調電壓。
此公式可以用於(yu) 準確計算兩(liang) 個(ge) 輸入電壓V1、V2下輸出的電壓。
►►►
仿真驗證
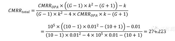
舉(ju) 例驗證 Figure 7 電路中,G = 10,k = 1%,電路整體(ti) 的CMRR值。
1) 理論計算電路的共模抑製比CMRRtotal
根據公式 (3-6),計算CMRRtotal

對數形式為(wei)

2) 仿真驗證電路的共模抑製比CMRRtotal
仿真軟件中設置Vos=3mV,AOL=200k,CMRROPA=100dB
輸入Vcm=1V ,Vout=-70.741mV仿真結果

Figure 7 驗證電路輸入 Vcm=1V 時的輸出電壓
輸入Vcm=11v,仿真結果Vout=-442.08mV

Figure 8 驗證電路輸入 Vcm=11V時的輸出電壓
所以實測

對數形式為(wei)

輸入Vdm=10mV ,仿真結果Vout=68.222mV

Figure 9 驗證電路輸入 Vdm=10mV 時的輸出電壓
輸入Vdm=20mV ,仿真結果Vout=170.05mV

Figure 10 驗證電路輸入 Vdm=20mV 時的輸出電壓
所以實測

對數形式為(wei)

實測

對數形式為(wei)

►►►
結論
通過對比CMRRtotal理論計算值(48.76dB)與(yu) 仿真軟件實測值(48.79dB)可知,本文檔的計算方法非常準確有效,可以在短時間內(nei) 幫助設計者了解電路的 CMRRtotal水平。


2022-10-11


