
摘要
本文介紹了運放電路帶寬增益積 GBW 選型經驗公式(GBW=Gain x BW)以外的計算方法,利用多數電壓反饋型運放符合的一階 RC 模型來擬合運放的開環增益曲線,通過運放的低頻開環增益 Am,電路的衰減係數 M,反饋係數 F,來準確計算電路中所需要運放的 GBW 。文中同時也給出了在運放 GBW 和低頻開環增益 Am選型固定之後,如何來準確計算某個(ge) 頻率 f 所對應的閉環增益 Acl,通過本文介紹的計算方法,設計者可以快速對運放進行選型,不必依賴於(yu) 某些經驗公式,更加可以根據實際電路中所容忍的增益誤差來選型運放的 GBW,對設計者幫助很大。
本文由江蘇潤石資深FAE-Ovid Ling 撰寫(xie)
引言
在電路選型運算放大器時,不少工程師會(hui) 根據經驗公式 GBW=Gain x BW 來計算,比如電路的帶寬是 100kHz ,增益需要 100,那麽(me) 直接選用 GBW= 100kHz x 100=10MHz 的運放來使用,實際上對電路的增益進行頻響測試時,會(hui) 發現在頻率為(wei) 100kHz 時,增益達不到 100倍。本文利用多數電壓反饋型運放符合的一階 RC 模型來擬合運放的開環增益曲線,通過運放的低頻開環增益 Am ,電路的衰減係數 M,反饋係數 F,來準確計算電路中所需要運放的 GBW。
帶寬增益積GBW的定義(yi)
對於(yu) 潤石的運放係列,目前多數都是電壓反饋型的,其開環增益曲線有一個(ge) 特點,在主極點 fH 之後,開環增益以 -20dB/dec 下降,就如下圖 Figure 1 的綠色曲線所示。紅色曲線是電路配置成 40dB 放大倍數的閉環增益曲線,在我們(men) 經常需要用到的頻段裏麵,也就是我們(men) 感興(xing) 趣的頻段,開環增益曲線可以使用一階 RC 模型來擬合,也就是說綠色曲線可以表述為(wei) :

其中 Am是低頻處的開環增益,fH 是運放的主極點。
一般我們(men) 認為(wei) 帶寬增益積 GBW = Am x fH,Figure 1 中

也可以從(cong) 單位增益頻率點來計算 GBW = 1 x 1MHz=1MHz,所以GBW 比較固定。在選取了一個(ge) 運放之後,GBW 隨之固定,信號的頻率越高,運放的開環增益就跟著下降。

Figure 1運放開環增益曲線示意圖
運放電路增益帶寬積GBW的計算方法
1) 負反饋電路的增益計算

Figure 2 同相放大器電路圖

Figure 3 反相放大器電路圖
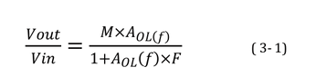
根據負反饋電路的原理,不論是同相放大器還是反相放大器,其電路增益可以表述為(wei) :

其中 M 是衰減係數,F 是反饋係數,AOL(f)是運放開環增益曲線,AOL(f) 是一個(ge) 複數。
對於(yu) 同相放大器

對於(yu) 反相放大器

2) 替換後的閉環增益計算
為(wei) 了更好描述運放的開環增益,我們(men) 把公式(2-1)代入到公式(3-1)可得:

根據 GBW = Am x fH,則

根據複數求模的運算,可得:

所以根據公式(3-4),我們(men) 可以計算已知運放的 GBW,Am,求得某個(ge) 頻率 f 下電路的 lAcll。
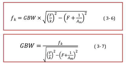
既然可以已知運放的 GBW,Am,求得某個(ge) 頻率 f下電路的 lAcll,那麽(me) 必然也可以計算已知電路某個(ge) 頻率 f 至少要有增益 lAcll,所需要運放的 GBW。還有已知運放的 GBW,Am,求得電路某個(ge) 增益 lAcll 下對應的頻率 f 。
引入係數 k,表述某個(ge) 頻率 f 下的閉環增益降低為(wei) 理想增益的程度,可得:
因為(wei) 理想的電路閉環增益為(wei)

所以

化簡後,可得:

仿真驗證
1) 已知運放 GBW ,計算頻率 f 下的閉環增益 Acl
根據Figure 2,R1=99k ,R2=1k ,運放 GBW=1MHz,Am=100k,計算 f=8kHz和 f=55kHz 下,電路的實際閉環增益 Acl。
根據公式(3-4),理論計算為(wei)

同相放大器電路的仿真結果見 Figure 4,可以看到,理論計算跟仿真結果非常接近。

Figure 4 同相放大電路的仿真結果
根據Figure 3,R1=100k ,R2=1k,運放 GBW=1MHz,Am=100k,計算 f =8kHz 和 f=55kHz 下,電路的實際閉環增益 Acl。
根據公式(3-4),理論計算為(wei)

反相放大器電路的仿真結果見 Figure 5,可以看到,理論計算跟仿真結果非常接近。

Figure 5 反相放大電路的仿真結果
2) 已知運放 GBW,計算某個(ge) 閉環增益 Acl 下對應的頻率 f
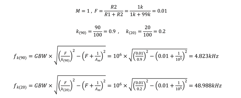
根據Figure 2,R1=99k ,R2=1K,運放 GBW=1MHz,Am=100k, 計算電路的實際閉環增益 Acl=90 和 Acl=20時所對應的頻率 f 。
根據公式(3-6),理論計算為(wei)

同相放大器電路的仿真結果見 Figure 6,可以看到,理論計算跟仿真結果非常接近。

Figure 6 同相放大電路的仿真結果
3) 在某個(ge) 頻率 f 下至少要有閉環增益 Acl,計算電路所需要運放的 GBW
根據Figure 2,R1=99k ,R2=1k,要求電路在頻率 f=50kHz 時,電路的實際閉環增益 Acl ≥ 80,求電路中運放的 GBW,假設選用運放的 Am=100k。
根據公式(3-7),理論計算為(wei)

在仿真軟件中設定運放的 GBW=6.68MHz,
同相放大器電路的仿真結果見 Figure 7,可以看到,理論計算跟仿真結果非常接近。

Figure 7 同相放大電路的仿真結果
結論
通過對比本文上述介紹的三種理論計算方法與(yu) 仿真軟件實測值可知,本文檔的計算方法非常準確有效,可以在短時間內(nei) 幫助設計者進行合適的運放選型。另外需要注意,本文介紹的運放一階等效模型,僅(jin) 適用於(yu) 電壓反饋型運放,電流反饋型運放不適用。而且電壓反饋型運放的開環增益曲線如果在單位增益帶寬前存在多個(ge) 極點,計算結果可能不準確。


2022-11-03


